您的位置:首页> 宿州市埇桥区人民政府 > 社会救助领域 > 最低生活保障 > 审批信息
信息分类: 其他,民政、扶贫、救灾、优抚,个人 内容分类: 审批信息
发文日期: 2023-10-30 15:34:02 生成日期: 2023-10-30 15:34:02
生效时间: 废止时间:
发布机构: 宿州市埇桥区人民政府 文  号:
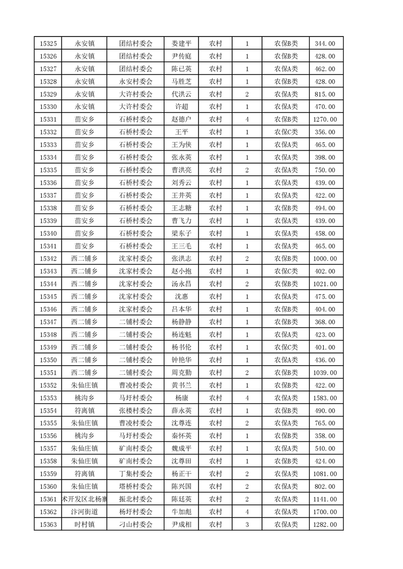
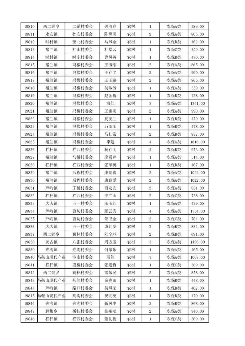
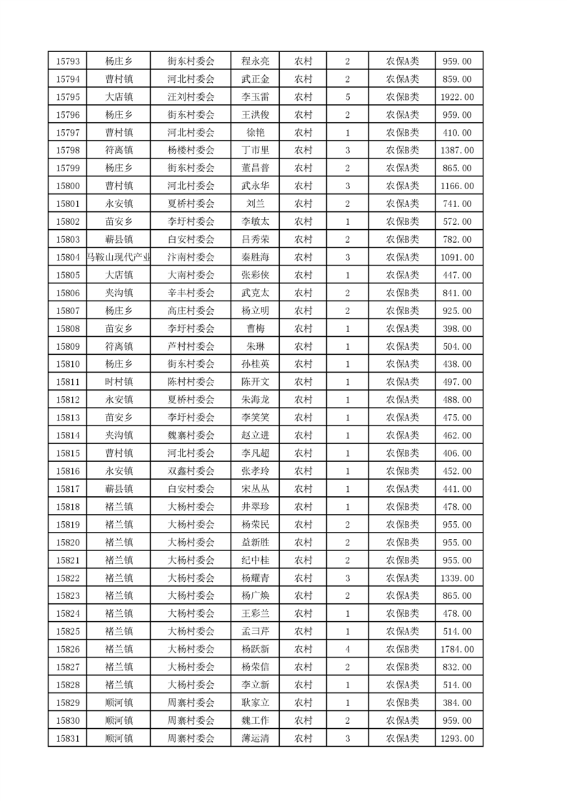
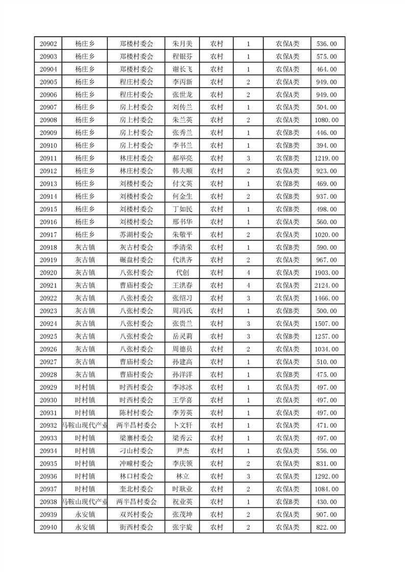
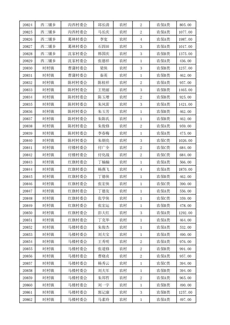
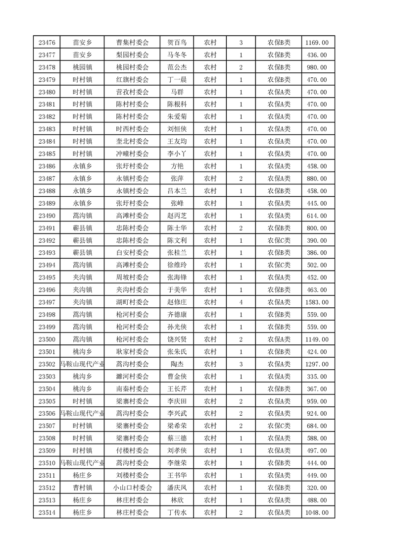
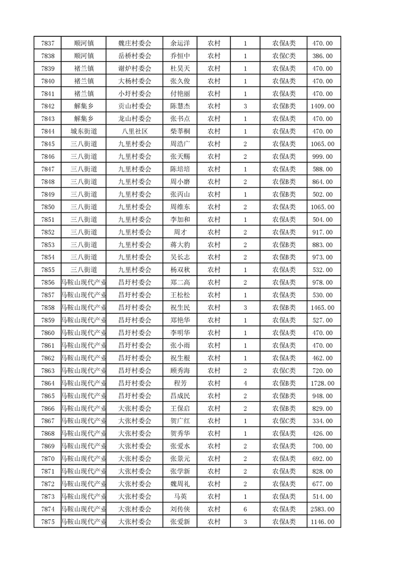
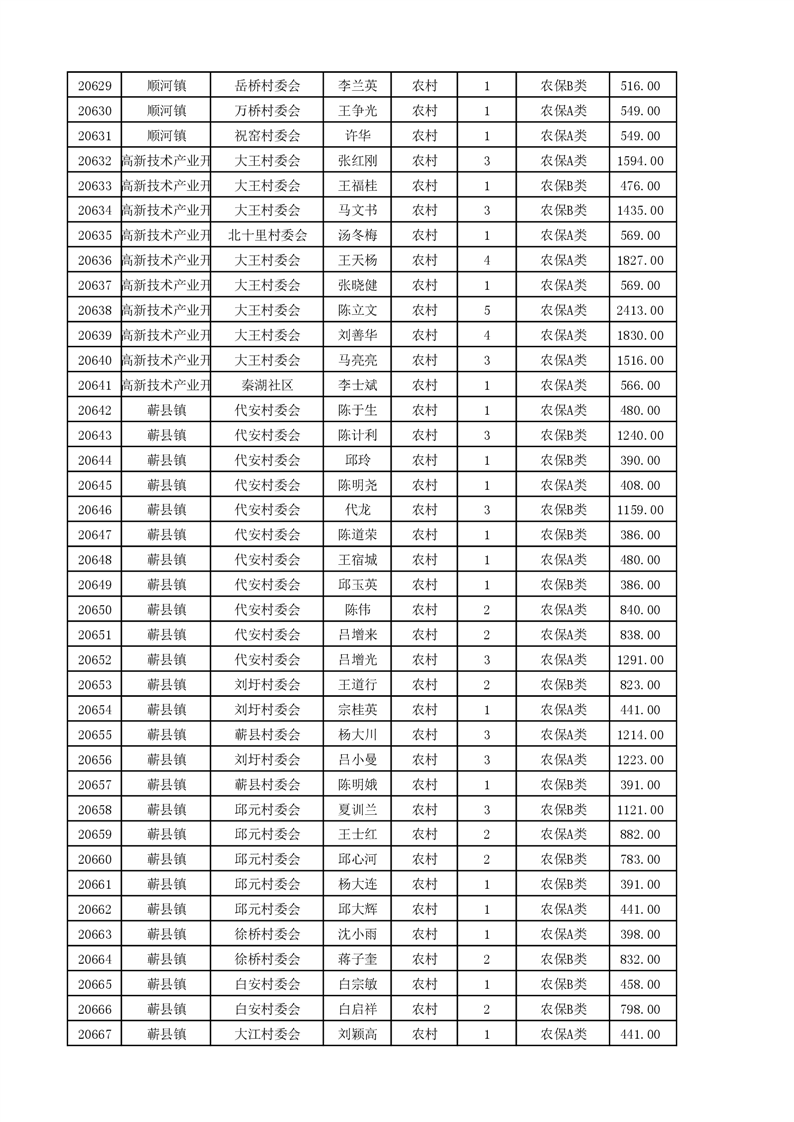
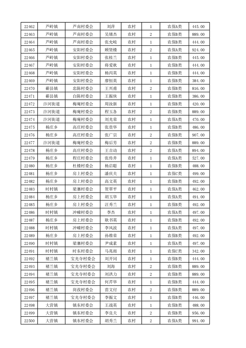
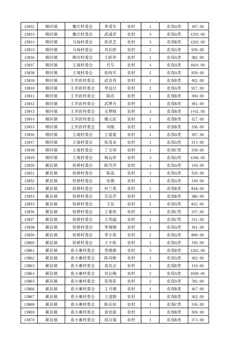
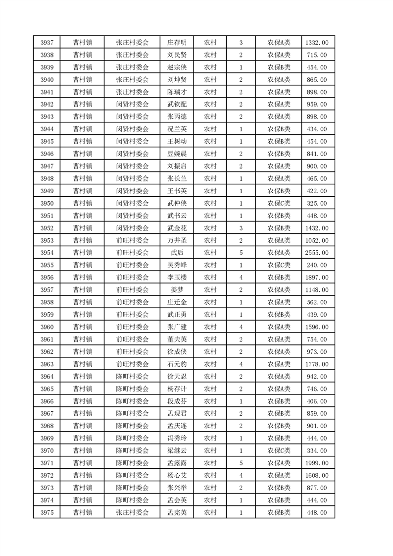
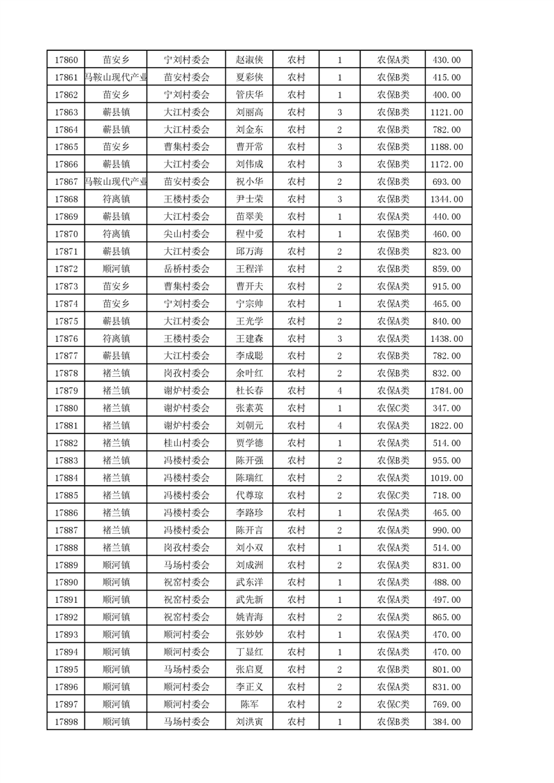
名  称: 埇桥区2023年10月份农村低保花名册
词:

埇桥区2023年10月份农村低保花名册

文章来源: 宿州市埇桥区民政局 浏览量: 发表时间:2023-10-30 15:34 责任编辑: 埇桥民政局
字体大小:【    】































































































































































































































































































































































































































































































































































































































































































































































































































































































































Baidu
map