您的位置:首页> 宿州市埇桥区人民政府 > 社会救助领域 > 特困人员救助供养 > 审批信息
信息分类: 其他,民政、扶贫、救灾、优抚,个人 内容分类: 审批信息
发文日期: 2024-05-28 16:56:44 生成日期: 2024-05-28 16:56:44
生效时间: 废止时间:
发布机构: 宿州市埇桥区人民政府 文  号:
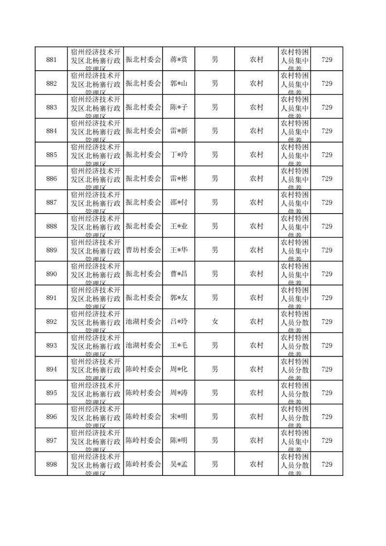
名  称: 埇桥区2024年5月特困人员名单
词:

埇桥区2024年5月特困人员名单

文章来源: 宿州市埇桥区民政局 浏览量: 发表时间:2024-05-28 16:56 责任编辑: 埇桥民政局
字体大小:【    】

















































































































































































































































































































































Baidu
map